[访问手机版]

扫一扫关注学校更多资讯

-高校直通车

 

 

 

已有 位关注本校
院校登录 | 我要咨询

招生计划

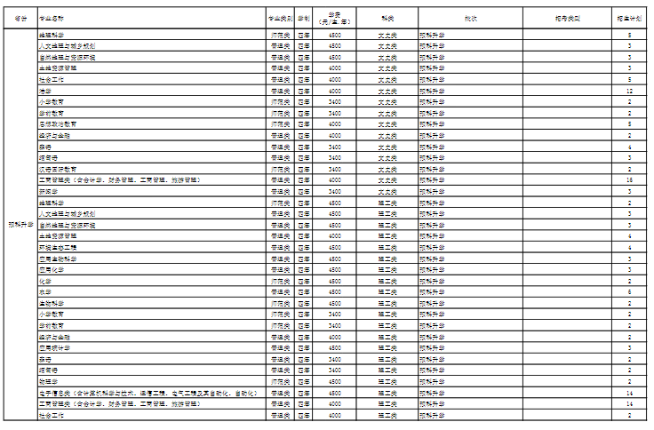
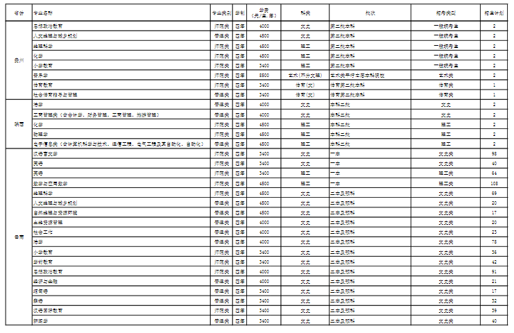
玉溪师范学院2021年本科分省分专业招生计划一览表

image.png


image.png

image.png


image.png

image.png

image.png

image.png

image.png

image.png